Ph Wert Berechnen Formel
Der pHWert errechnet sich durch den negativ dekadischen Logarithmus der Oxoniumionen Hier ein Beispiel Wenn die Konzentration der Oxoniumionen (H3O) beispielsweise bei c = 0,01 mol=L liegt, dann können wir den pHWert berechnen, indem wir auf die Konzentration zunächst den Zehnerlogarithmus (lg) anwenden und anschließend noch das.
Ph wert berechnen formel. PH = 1 pHWert Berechnung für starke Säuren / Basen – NaOH H 2 O Na aq OH starke Base, vollständige Dissoziation – – OH = 10 1 mol/l;. Berechnung des pHWertes starker Säuren Löst man eine oder mehrere Säuren in Wasser, so gilt für den pHWert der Lösung definitionsgemäss pH = – log H 3 O Zur Berechnung des pHWerts muss zwischen Lösungen starker und schwacher Säuren unterschieden werden. Vielmehr benoetigst du fuer pH berechnungen bzgl des pHaktiven teils deines salzes, des ammoniums naemlich , dort den pK s des ammoniums da ammonium und ammoniak nun aber zueinander konjugiert sind, gilt hier pKb pKs = 14 pKs (ammonium) = 14 pKb (ammoniak ) = 925.
Wenden Sie zur Berechnung des pHWerts die Formel pOH = log an Berechnen Sie log = 1 Wenden Sie als Nächstes die Formel pH pOH = 14 an Um den pHWert zu isolieren, berechnen Sie 14 1 = 13 Der pHWert Ihrer NaOHLösung beträgt 13. Den pHWert erhalten wir aus der bekannten Formel pH=14pOH Und nun ein Übungsbeispiel, welchen pHWert hat eine Ammoniaklösung mit einer Konzentration von 0,0001 mol/l in Wasser?. Gefragt 7 Dez von Ilikepancakes.
PH Wert berechnen schwache Säuren Beispiel Ein häufiges Beispiel für schwache Säuren ist die Essigsäure, die einen pKs Wert von 4,76 hat Nimmt man an, man würde 1 mol Essigsäure in Wasser lösen und möchte nun den pH Wert der Lösung berechnen Dann kann man folgendermaßen vorgehen. PHWertBerechnung starker Säuren Man geht bei starken Säuren von einer vollständigen Protolyse aus Dann ergibt sich für den pHWert pH = lg c(H O) 3 Beispiel HCl c = 0,01 mol/l Æ pH= lg (0,01) = 2 pHWertBerechnung schwacher Säuren Bei schwachen Säuren hat man einen schwachen Dissoziationsgrad. Aufgaben "bunt gemischt" die richtig anzuwendende Formel selbst herausfinden!.
Der pHWert ist ein Maß für den sauren oder basischen Charakter einer wässrigen LösungEr ist die Gegenzahl des dekadischen Logarithmus (Zehnerlogarithmus) der WasserstoffionenAktivität und eine Größe der Dimension Zahl Eine verdünnte wässrige Lösung mit einem pHWert von weniger als 7 nennt man sauer, mit einem pHWert gleich 7 neutral und mit einem pHWert von mehr als 7 basisch. Ich habe hier die Farbskalen von einigen für euch mitgebracht Betrachten wir einmal Thymolblau So ziemlich in der Mitte gibt es einen interessanten grünen Bereich Dort ist ein pHWert von etwa 8,5 Wir wollen die Protonenkonzentration berechnen Die Formel kennt ihr bereits CH ist gleich minus und jetzt setze ich den pHWert ein, 8,5 mol/l. PH Berechnungen (IV) Die Aufgaben mit ausführlichem Lösungsweg Wenn nichts anderes hingeschrieben ist, sind bei Zwischenrechnungen und Ergebnissen die Konzentrationen in der Einheit mol/l angegeben.
Der pHWert lässt sich aus dem pOHWert wie folgt berechnen Schwache Säuren und Basen Bei schwachen Säuren und Basen kann man nicht davon ausgehen, dass die Verbindungen in der Lösung vollständig dissoziieren, was die Berechnung des pHWertes etwas erschwert. CO2 Berechnung in einem Aquarium Diese Methode lässt es zu den CO2 Wert in einem Aquarium aufgrund des PH Wertes und der Karbonathärte zu bestimmen Die entsprechende Formel und das Berechnungstool findet ihr bei uns auf aquaristikorg. Die Formel für die pHWert ist pH = log H Dies bedeutet, pH ist der negative Basis 10 Logarithmus ( „log“ auf einem Rechner) der WasserstoffionenKonzentration einer Lösung Um es zu berechnen, nehmen das Protokoll der Wasserstoffionenkonzentration und umgekehrt die Zeichen, um die Antwort zu bekommen.
Wie kann man den pH Wert einer 0,1 M HCL Lösung berechnen Wie kann man den pH Wert einer 0,1 M HCL Lösung berechnen HCl ist eine starke Säure und dissoziiert vollständig in wässriger Lösung Daraus folgt H 3 O =. PHBerechnen für wässrige Lösungen Oben auf der rechten Seite kannst Du/können Sie durch Drehen auf den AKRollen eine Säure (und eine Base) auswählen, Konzentration (und evtl Volumen) eintippen Die App berechnet automatisch den pHWert und zeigt zusätzlich die zugehörige Farbe eines Universalindikators an. Eine genaue Bestimmung der Konzentrationen der drei Formen bei og pHWert (H 2 A = 1,6·106 mol/l, HA = 9,996·103 mol/l, A = 2,3·106 mol/l) bestätigt im übrigen, dass die näherungsweise Gleichsetzung der Ausgangs und Gleichgewichtskonzentration der Intermediatform in diesem Beispiel vollauf gerechtfertigt ist.
Top Bilder von Formeln Ph Wert Berechnung Referenz Herzlich willkommen Formeln Ph Wert Berechnung 21 Durchsuche formeln ph wert berechnung Referenzund formel ph wert berechnung Zurück zuhause. Die gesamte pHWertBerechnung für Säuren beruht auf folgenden vier Formeln K s = H ∗ A − / H A {\displaystyle K_{s}=H^{}*A^{}/HA} c 0 = H A A − {\displaystyle c_{0}=HAA^{}}. Berechnung bei schwachen Säuren / Basen I Protolyseschema Beispiel Ammoniumchloridlösung NH 4 H 2 O H 3 O NH 3 II Fallunterscheidung Ammoniumchloridlösung hat einen pK sWert von 924 und ist somit.
Der pHWert ist ein Maß für die Konzentration von WasserstoffIonen bzw HydroniumIonen in einer Lösung Der Zahlenwert gibt die Konzentration als negativen dekadischen Logarithmus an Je weniger WasserstoffIonen in einer Lösung vorhanden sind, desto größer ist der pHWert Saure Lösungen weisen einen pHWert von weniger als 7,0 und basische Lösungen einen pHWert über 7,0. O = 10 1 mol/l;. Berechnung des pHWertes pH = log 10 c(H ) Berechnungsbeispiel 1 Liter Salzsäure wurde mit 0,2 mol Chlorwasserstoff hergestellt, damit ergibt sich die Konzentration c c(H 3 0 ) = c(HCl) = 0,2 mol · L1 Für den pHWert erhält man pH = log 10 c(H 3 0 ) = log 10 0,2 = 0,7 Bei bekanntem pHWert kann durch Formelumstellung die Säurekonzentration c errechnet werden.
Der pHWert ist ein Maß für die Konzentration von Protonen in einer Lösung Der Zahlenwert gibt die Konzentration als negativen dekadischen Logarithmus an Je weniger freie Protonen in einer Lösung vorhanden sind, desto größer ist der pHWert Ist die Protonenkonzentration in einer Lösung hoch, dh der pHWert niedrig, spricht man von einer sauren Lösung, ist der. PHWert Berechnungen Der pHWert ist der negative dekadische Logarithmus der Wasserstoffionenkonzentration Das klingt kompliziert, ist aber nach ein paar Beispielen ganz einfach pH = – log H Protonen (= HIonen) gibt es eigentlich nur im Vakuum. Dh Du mißt den ADCWert1 der Elektrode für Kalibrierlösung PH40 und den ADCWert2 der Elektrode für Kalibrierlösung PH70 Und heraus kommt eine Formel, mit der Du für alle Messwerte zwischen ADCWert1 und ADCWert2 einen "richtigen" PHWert herausbekommst (in dem Fall ein PHWert zwischen 40 und 70).
Frage Wie genau kann ich den Anwaerter nun Implementieren?. Der pHWert lässt sich bei bekannter Konzentration an Säuren und Basen in einer wässrigen Lösung auch berechnen So entspricht der pHWert starker Säuren dem negativen dekadischen Logarithmus der Konzentration der Säure, da man davon ausgeht, dass die Konzentration der Säure der der Oxoniumionen entspricht und die Autoprotolyse des. Definiere den pHWert in einer Gleichung Der pHWert wird mit einem negativen Logarithmus berechnet Ein negativer Logarithmus ist einfach die Anzahl, wie oft eine Zahl geteilt werden muss Die Gleichung für den pHWert kann folgendermaßen formuliert werden pH = logH3O.
IV Definition des pHWertes heranziehen pH = lg { c(H 3 O ) } Analog zum SäureSchema berechnet man auch den pHWert einer starken Base c(H 3 O muss dann nur durch c(OH) ersetzt werden!. PHWertBerechnung starker Säuren Man geht bei starken Säuren von einer vollständigen Protolyse aus Dann ergibt sich für den pHWert pH = lg c(H O) 3 Beispiel HCl c = 0,01 mol/l Æ pH= lg (0,01) = 2 pHWertBerechnung schwacher Säuren Bei schwachen Säuren hat man einen schwachen Dissoziationsgrad. Beispiel 3 Berechnen Sie pH und pOH der Lösung containging 0,1 M H3PO4 (pKa1 = 2,12, pKa2 = 7,21, pKa3 = 12,67)?.
Der pHWert lässt sich mit Hilfe derNernstschen Gleichung berechnen 32 Die Einstabmesskette Bei dem am Anfangvorgeführten pHMessgerät sind die Mess und dieBezugselektrode zu einem Bauteil vereint Eine solche Anordnung bezeichnet man als Einstabmesskette. Der pHWert lässt sich bei bekannter Konzentration an Säuren und Basen in einer wässrigen Lösung auch berechnen So entspricht der pHWert starker Säuren dem negativen dekadischen Logarithmus der Konzentration der Säure, da man davon ausgeht, dass die Konzentration der Säure der der Oxoniumionen entspricht und die Autoprotolyse des Wassers außer Acht lässt. Dies ist nicht das gleiche wie die „ln“ Schaltfläche, die auf den natürlichen Logarithmus bezeichnet Beispiel Berechnen Sie den pH Wert für einen bestimmten H Berechnen pH gegeben H = 1,4 x 10 5 M pH = log 10 H pH = log 10 (1,4 x 10 5 ) pH = 4,85.
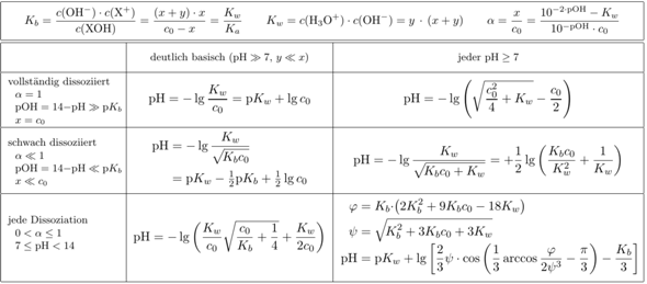
Auch bei schwachen Basen funktioniert die pHWertBerechnung mit derselben Formel wie bei schwachen Säuren, nur, dass wir wieder aufpassen müssen, dass dadurch zunächst der pOHWert berechnet wird Daraus berechnen wir noch den pHWert Hier ergibt sich folgende Formel \begin{align*} pH =14 – \frac{1}{2} \cdot \left( \text{p}K_\text{S} – c_0({HA}) \right) \end{align*}. Für schwache Basen kann man in Analogie zu den schwachen Säuren eine ähnliche Formel herleiten Sie lautet pOH=1/2(pKBlg(B)), wobei (B)=Konzentration der Base Den pHWert erhalten wir aus der bekannten Formel pH=14pOH Und nun ein Übungsbeispiel, welchen pHWert hat eine Ammoniaklösung mit einer Konzentration von 0,0001 mol/l in Wasser?. Der pHWert ist ein Maß für den sauren oder basischen Charakter einer wässrigen LösungEr ist die Gegenzahl des dekadischen Logarithmus (Zehnerlogarithmus) der WasserstoffionenAktivität und eine Größe der Dimension Zahl Eine verdünnte wässrige Lösung mit einem pHWert von weniger als 7 nennt man sauer, mit einem pHWert gleich 7 neutral und mit einem pHWert von mehr als 7 basisch.
PHWerte berechnen – Lösungen Stofflösung Säure/ Base Stark/ schwach Formel für Berechnung Konzentration mol/l pHWert HCl(aq) Säure Stark pH = log10 HCl 0003 25 NH3(aq) Base Schwach. PHWertBerechnung Reines Wasser enthält bei 22°C pro Liter 1*107 mol Hydroniumionen (=Oxoniumionen) und ebenso viele Hydroxidionen Diese relativ kleinen Werte werden in der Regel durch den negativen dekadischen Logarithmus ausgedrückt pH = log H pOH = log OH in reinem Wasser gilt H = OH = 1*107 mol*l1. Lewis Formel Dauer 0518 54 Fischer Projektion Dauer 0514 Chemie Grundlagen Bindungsmodelle 55 pH Wert Dauer 0426 70 pH Wert berechnen Dauer 0402 71 pKs Wert Dauer 0423 72 Isoelektrischer Punkt Dauer 0416 73 Ionenprodukt des Wassers.
PH = 13 H 2 SO 4 2 H 2 O 22 H 3 O SO 4 – starke Säure, vollständige Dissoziation H 3 O = 2 · 0005 mol/l = 001 mol/l = 10–2 mol/l;. Dieses geht jedoch nicht in die Berechnung mit ein, da es nicht ausschlaggebend für den pHWert des Puffersystems ist Zudem haben wir noch einen – Wert von 4,75 gegeben Die HendersonHasselbalchGleichung lautet. Die Formel für die pHWert ist pH = log H Dies bedeutet, pH ist der negative Basis 10 Logarithmus ( „log“ auf einem Rechner) der WasserstoffionenKonzentration einer Lösung Um es zu berechnen, nehmen das Protokoll der Wasserstoffionenkonzentration und umgekehrt die Zeichen, um die Antwort zu bekommen.
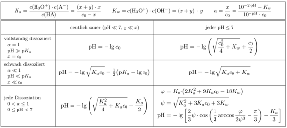
Um sich in der Formelsammlung zur pHWert Berechnung zu Recht zu finden, muss einem zunächst klar sein, dass sich aus den ganzen Formeln die in meinem Beitrag pHWert Berechnung 1 Einführung gezeigt werden eine kubische Gleichung herleiten lässt, genannt die große pHFormel Diese ist leider nicht so ohne weiteres lösbar. PH Wert berechnen starke Säuren Formel Bei sehr starken Säuren liegt dabei das Gleichgewicht komplett auf der dissoziierten ProduktseiteDies gilt nur für Säuren, die einen pKsWert von kleiner 1 haben Das gilt zum Beispiel für Salzsäure und Schwefelsäure Wenn man berechnen will, wie hoch nach Zugabe einer starken Säure der pH Wert. Mit pH = – log c(H 3 O ) erhält man Beispiel Man hat 101 mol/L Essigsäure mit einem pKsWert von 4,75 Somit erhält man einen pHWert von pH = 05(4,75 – (log 101)) = 2,875.
Der pHWert ist der negative dekadische Logarithmus der Wasserstoffionenkonzentration Das klingt kompliziert, ist aber nach ein paar Beispielen ganz einfach pH = log H Protonen (= HIonen) gibt es eigentlich nur im Vakuum In Wasser bilden sich höher hydratisierte Ionen (H3O, H9O4, usw) Man schreibt immer nur H3O und beim pHWert lässt man auch. Berechnen sie den pHWert einer 0,5 mol/L Ammoniumnitratlösung (pKb = 4,75) Meine Ideen Ideen, Ansätze da scheiterts schon mal und somit excellentnaeherungsweise mit der formel fuer die berechnung des pH schwacher saeuren hier zu operieren ist genau die will man in der anwendung aufs problem hier wohl sehen von dir). Welchen pHWert hat eine Salzsäure der Konzentration c = 0,04 mol/l?.
Wir müssen pHWerte berechnen Die Formel dazu habe ich auch (mit dem negativen dekadischen Logarithmus der Oxoniumkonzentration) Nun habe ich einfach nur die Angabe 0,1mol/L HCl und soll dazu den pHWert berechnen. Berechnen Sie den pH – Wert folgender Lösung ml 2 mol/l HCl 1 l (Liter) H2O !. Der pHWert ist als negativer dekadischer Logarithmus der Wasserstoffionenkonzentration definiert pH = Log a H pHWertSkala In Anlehnung an die Dissoziationskonstante des Wassers (k Diss) teilt man den pHWert für reines Wasser und verdünnte wässrige Lösungen bei 25 °C in folgende Skala ein pH.
PHWert pHWert einer starken Säure pH = log c 0 (HA) Eine starke Säure dissoziiert vollständig, c(H 3 O ) = c 0 (HA) pHWert einer schwachen Säure (Wasser ist im Überschuß vorhanden c(H 2 O) = const) c(H 3 O ) = c(A) c 2 (H 3 O ) = K S ·c 0 (HA) pH = log c(H 3 O ) Diese pHWertBerechnung ist nur eine angenäherte Formel, die für die praktische Anwendung jedoch. 1,40 Welchen pHWert hat eine Ammoniaklösung der Konzentration c = 0,08 mol/l?. PHWert Berechnung 1 Einführung In diesem Beitrag werden alle notwendigen Formel und die zugrundeliegenden Zusammenhänge nach Brønsted dargestellt, die notwendig sind um die Berechnung des pHWerts zu verstehen Um den pHWert zu verstehen muss man zunächst Wasser verstehen.
11 pHWert 4 12 pOHWert 5 13 pHWert f ur starke S auren 5 14 pHWert f ur schwache S auren 5 15 pHWert f ur starke Basen 5 16 pHWert f ur schwache Basen 5 17 HendersonHasselbalchGleichung 6 18 Nernstsche Gleichung 6 1 1 Avogadro Konstante N A Die AvogadroKonstante N A ist der. Der pHWert ist ein Maß für die Konzentration von Protonen in einer Lösung Der Zahlenwert gibt die Konzentration als negativen dekadischen Logarithmus an Je weniger freie Protonen in einer Lösung vorhanden sind, desto größer ist der pHWert Ist die Protonenkonzentration in einer Lösung hoch, dh der pHWert niedrig, spricht man von einer sauren Lösung, ist der. 352 pHWertBerechnung Wird eine starke Säure 1 10 verdünnt, so nimmt ihr pHWert um 1 zu, wird sie 1 100 verdünnt, nimmt der pHWert um 2 zu, bei einer Verdünnung von 1 1000 um 3 etc Bei Basen nimmt der pHWert durch Verdünnung entsprechend ab Umgekehrt verhält es sich beim Konzen trieren starker Säuren/Basen.
Der pHWert ist ein Maß für die Konzentration von WasserstoffIonen bzw HydroniumIonen in einer Lösung Der Zahlenwert gibt die Konzentration als negativen dekadischen Logarithmus an Je weniger WasserstoffIonen in einer Lösung vorhanden sind, desto größer ist der pHWert Saure Lösungen weisen einen pHWert von weniger als 7,0 und basische Lösungen einen pHWert über 7,0. Berechnung des pHWertes pH = log 10 c(H ) Berechnungsbeispiel 1 Liter Salzsäure wurde mit 0,2 mol Chlorwasserstoff hergestellt, damit ergibt sich die Konzentration c c(H 3 0 ) = c(HCl) = 0,2 mol · L1 Für den pHWert erhält man pH = log 10 c(H 3 0 ) = log 10 0,2 = 0,7 Bei bekanntem pHWert kann durch Formelumstellung die Säurekonzentration c errechnet werden. PHWert Berechnung 1 Einführung In diesem Beitrag werden alle notwendigen Formel und die zugrundeliegenden Zusammenhänge nach Brønsted dargestellt, die notwendig sind um die Berechnung des pHWerts zu verstehen Um den pHWert zu verstehen muss man zunächst Wasser verstehen.
Der Dissoziationsgrad α ist leicht zugänglich aus der Messung des pHWertes oder der Messung der Äquivalentleitfägigkeit Bei schwachen Säuren oder Basen nicht zu geringer Konzentration ist der Protolysegrad sehr klein, das heißt 1 − α ≈1 Die obige Beziehung vereinfacht sich dann zu K a,b = α 2 ⋅ c 0 ⇒ α = K a,b c 0. Auf die Einheiten achten!. Berechnung bei schwachen Säuren / Basen I Protolyseschema Beispiel Ammoniumchloridlösung NH 4 H 2 O H 3 O NH 3 II Fallunterscheidung.
WERDE EINSER SCHÜLER UND KLICK HIERhttps//wwwthesimpleclubde/goZUM GEILEREN REMAKE & ÜBUNGSAUFGABEN http//bitly/SaeureBaseWie wird der pHWert berechn. 11 pHWert 4 12 pOHWert 5 13 pHWert f ur starke S auren 5 14 pHWert f ur schwache S auren 5 15 pHWert f ur starke Basen 5 16 pHWert f ur schwache Basen 5 17 HendersonHasselbalchGleichung 6 18 Nernstsche Gleichung 6 1 1 Avogadro Konstante N A Die AvogadroKonstante N A ist der. Top Bilder von Formeln Ph Wert Berechnung Referenz Herzlich willkommen Formeln Ph Wert Berechnung 21 Durchsuche formeln ph wert berechnung Referenzund formel ph wert berechnung Zurück zuhause.
Analog zum SäureSchema berechnet man auch den pHWert einer starken Base c(H 3 O muss dann nur durch c(OH) ersetzt werden!. Der pHWert lässt sich mit Hilfe derNernstschen Gleichung berechnen 32 Die Einstabmesskette Bei dem am Anfangvorgeführten pHMessgerät sind die Mess und dieBezugselektrode zu einem Bauteil vereint Eine solche Anordnung bezeichnet man als Einstabmesskette. An deiner Rechnung ist grundsätzlich nichts auszusetzen Es gibt tatsächlich pHWerte außerhalb der bekannten 0bis14Skala Dies ganze pHGerechne gilt aber nur für.
PHWert Berechnung 6 Herleitung der großen pHFormel In diesem Beitrag geht es um die Herleitung der großen pHFormel Zur Übersichtlichkeit habe ich die Herleitung unterteilt nach der Abfolge der Formeln, die notwendig sind um die großen pHFormel herzuleiten. Wir benutzen die Formel für die Berechnung des pOHWertes.

Ph Wert Anorganische Chemie Abitur Vorbereitung
Www Uni Heidelberg De Institute Fak12 Ac Huttner Pdf Files Grundvorlesung Kapitel09 Pdf

Kapitel 2 Aufgaben Zu Saure Base Reaktionen Verb Uploads
Ph Wert Berechnen Formel のギャラリー

Ph Wert Berechnung Fur Starke Sauren Basen Starke Saure Vollstandige Dissoziation H 3 O 10 1 Mol L Ph 1 Pdf Kostenfreier Download

ᐅ Ph Wert Des Blutes Zustandig Fur Saure Basen Haushalt

Exakte Ph Wert Berechnung 2 Dissoziationsgrad Von Sauren Youtube

Inhaltsfeld 2

Kann Man Mithilfe Der Formel Fur Den Ph Wert Der Mittelstarker Sauren Alle Ph Werte Aller Sauren Genau Berechnen Schule Chemie Biologie
Http Www Peraugym At Chemie Lh Ueph1 Pdf

Einfuhrung Ph Und Poh Wert Berechnung Bei Starken Sauren Und Basen Youtube
Www Uni Marburg De Fb15 Studium Praktika Nebenfach Bioprakt Uebung Korr Pdf
Http Www Peraugym At Chemie Lh Ueph1 Pdf

Prof Blumes Medienangebot Wasser Und Leben

Der Ph Wert Theoretische Grundlagen Berechnungen Und Praktische Messung Pdf Kostenfreier Download

Herleitung Der Parameter Massenwirkungsgesetz
Studienseminar Rlp De Fileadmin User Upload Studienseminar Rlp De Gy Ko Fachseminare Chemie Unterrichtsentwuerfe Kurzentwurf Sek I Schwerpunkt Erkenntnisgewinnung Pdf

Q12 Ph Wert Schwacher Sauren Youtube
Www Chemie Uni Hamburg De Studium Dokumente 09 Sauere Base2 Pdf

Inhaltsfeld 2

Theorie Universitat Tubingen

Berechnen Und Messen Des Ph Werts Chemiewiki

Sb 24 Formeln Zur Ph Wert Berechnung Von Sauren Und Basen Chemiestunde Bei Herrn Griesar

Formeln Zur Ph Wert Berechnung Explain It Arium

Tabelle Pks Werte Ausgewahlter Sauren Bei 25 C Ppt Herunterladen

Kohlendioxid Co2 Berechnen Fischlexikon
Formelsammlung Chemie Berechnung Des Ph Wertes Wikibooks Sammlung Freier Lehr Sach Und Fachbucher
Http Www Org Chemie Uni Muenchen De Ac Kornath Site Assets Files 1033 17 Ph Berechnung Pdf

Ph Wert Bei Schwachen Sauren Und Basen Herleitung Youtube

Ph Wert Berechnen Chemie Ph Wert Sauren Und Basen

Ph Wert Berechnung 1 Einfuhrung Explain It Arium

Prof Blumes Medienangebot Chemische Gleichgewichte Und Massenwirkungsgesetz
Www Medi Learn De Examen Pdfs 15 Ch1 56b8d335bc6b38f8d8db4bd10eddc6 Pdf
Www2 Klett De Sixcms Media Php 229 0600 Loe Durchblick Pdf
Flexiessay Berechnung Von Ph Werten Doccheck Flexikon

Massenwirkungsgesetz Verstandlich Erklart Studyhelp Online Lernen

Pr Nasschemische Arzneibuchanalytik Teil Ii

Ph Wert Von Salzsaure Berechnen Schule Chemie Chemieunterricht

Ph Wert Von Nh4cl Berechnen Chemie Ph Wert Berechnen

Ph Wert Berechnung Bei Sehr Starken Sauren Youtube
Dissoziationsgrad Wikipedia

Weitere Rechnungen Rund Um Den Ph Wert Von Sauren Basen Und Salzlosungen Pdf Free Download

Ph Wert Berechnung Fur Starke Sauren Basen Starke Saure Vollstandige Dissoziation H 3 O 10 1 Mol L Ph 1 Pdf Kostenfreier Download

Ph Wert Atariuptodate

Prufungsfragenkatalog Fur Einfuhrung In Die Pharmazeutische Analytik Auswertung Validierung Prof Astrid Ortner Pdf Kostenfreier Download
Einen Ph Wert Berechnen Wikihow
Formelsammlung Chemie Berechnung Des Ph Wertes Wikibooks Sammlung Freier Lehr Sach Und Fachbucher

Ph Und Poh Wert Bei Schwachen Sauren Und Basen Berechnen Youtube

Berechnung Von Konzentrationen Mithilfe Des Ph Wertes Inkl Ubungen

Prof Blumes Medienangebot Chemische Gleichgewichte Und Massenwirkungsgesetz

2 Der Ph Wert
Formelsammlung Chemie Berechnung Des Ph Wertes Wikibooks Sammlung Freier Lehr Sach Und Fachbucher

Reaktionsgeschwindigkeit Formel Und Berechnung Mit Video

Januar 21 Ph Wert In Der Galvanotechnik Einfach Erklart

Saurestarke Bs Wiki Wissen Teilen

Natriumacetat In Wasser Ph Wert

Ph Wert Berechnen Fur Gegebene Losung Chemie Ph Wert Berechnen
2

Freies Lehrbuch Anorganische Chemie 24 Saure Base Gleichgewichte

Ph Wert Berechnung Fur Starke Sauren Basen Starke Saure Vollstandige Dissoziation H 3 O 10 1 Mol L Ph 1 Pdf Kostenfreier Download

Formeln Zur Ph Wert Berechnung Explain It Arium

Was Ist Ammonium Ammoniak Wiki
Http Www Uni Saarland De Fileadmin User Upload Professoren Fr81 Profhegetschweiler Ac Ii Ac2 Uebung 5 Loesung Pdf

Ph Wert Berechnung Fur Starke Sauren Basen Starke Saure Vollstandige Dissoziation H 3 O 10 1 Mol L Ph 1 Pdf Kostenfreier Download

Formeln Zur Ph Wert Berechnung Explain It Arium

Ph Wert Berechnung Einfuhrung Erklart Inkl Ubungen

4 2 Basestarke Der Pkb Wert
Stammlosungen Und Einstellung Von Dungermischern Hortipendium
Www Uni Marburg De Fb15 Studium Praktika Nebenfach Bioprakt Ss11 Ueb1 Prakt Bio Pdf

Physiologie Saure Basen Haushalt
Www Avh Gd De Fileadmin User Upload Aufgaben Corona 24 03 12 Chemie Aufgaben 2 Woche Pdf

Ph Wert Berechnen Schwache Saure Mit Starker Base Chemie Biologie

Pks Und Pkb Werte Berechnen Studyhelp Online Lernen
1
Pufferkapazitat Und Pufferintensitat

Puffer Anorganische Chemie Abitur Vorbereitung

Aœbungsaufgaben Sa Uren Basen Ph Wert Und Puffer

Ph Wert Berechnung Titrierung Schule Chemie Naturwissenschaft

Pr Nasschemische Arzneibuchanalytik Teil Ii

Frage Zu Ph Wert Berechnung Schule Chemie Ph Wert Berechnen
Ph Wert Definition Und Berechnung In Chemie Schulerlexikon Lernhelfer

Autoprotolyse Des Wassers Ph Wert Erklarung Ubungen

Ph Wert Berechnung Wasser Losungen Von Sauren Basen Und Salzen Hagg Diagramm
Formelsammlung Chemie Berechnung Des Ph Wertes Wikibooks Sammlung Freier Lehr Sach Und Fachbucher

Ph Werte Von Sauren Basen Salzen Und Pufferlosungen Pdf Kostenfreier Download

Formeln Zur Ph Wert Berechnung Explain It Arium

Sauren Und Basen Chemgapedia
Ph Wert Definition Skala Tabelle Bedeutung Mit Video

Ph Wert Bei Zweiprotonigen Sauren Chemie Naturwissenschaft

Saure Base Titration
Ph Wert Einer Extrem Verdunnten Saure
Kurs Ph Wert Berechnung Gleichungen Wikiversity

Berechnung Des Ph Werts Schwacher Sauren

Ph Wert Berechnung Bei Sehr Starken Sauren Youtube

Formeln Zur Ph Wert Berechnung Explain It Arium

Sb 24 Formeln Zur Ph Wert Berechnung Von Sauren Und Basen Chemiestunde Bei Herrn Griesar

Ph Berechnungen Und Saure Base Titrationen Pdf Kostenfreier Download

Ph Wert Von Salzlosungen Erklart Inkl Ubungen

Anfangskonzentration Und Pks Wert Computer Chemie Konzentration

Ph Wert Berechnen Gehe Auf Simpleclub De Go Werde Einserschuler Youtube

Der Ph Wert Und Seine Herleitung Youtube

Inhaltsfeld 2



